科研进展 | 郑春苗研究团队发表潮汐对于沿海地区地下水系统影响的最新成果
发布时间:2023-10-13来源:宁波东方理工大学浏览次数:25字体:[小中大]
近日,宁波东方理工大学郑春苗教授研究团队在水文水资源领域顶级期刊Water Resources Research发表题为“Complex Effects of Tides on Coastal Groundwater Revealed by High-Resolution Integrated Flow Modeling”的研究论文。该论文采用高分辨率地表水-地下水耦合模型方法研究了潮汐对于沿海地区地下水系统的复杂影响,并首次绘制出受潮汐影响的地下水含水层区域。
沿海地区,尤其是河口三角洲地区因具有资源丰富、气候宜人、交通便利等优势条件,通常拥有较高的人口密度与活跃的社会经济活动。高强度的人类活动向近海水体中排放了大量富含氮、磷等营养盐的废水,改变了近海水体中原有的营养盐浓度与比例,引发水体富营养化现象,造成赤潮、水体缺氧、鱼类死亡、水质恶化等海洋生态问题。海底地下淡水排泄是陆源营养盐入海的重要途径,对其进行系统量化并分析其变化特征和影响因素是有效治理近海水体水生态环境问题的前提条件。而沿海地区的地下水流又因同时受到陆地因素和海洋因素的双重影响,呈现出复杂的时空变化特征。
研究团队选取珠江三角洲为研究区域,构建了分布式三维地表水-地下水耦合模型,研究了区域地表水-地下水-海水交互过程的时空变化特征。其中,潮汐对于地表水、地下水系统的影响通过在陆海界面设定随潮汐变化的水位边界条件来体现。研究还分析了多种陆海水文变量对交互过程的影响,并通过数值实验揭示了潮汐对沿海地区地下水系统的影响范围。
模型模拟结果显示,三角洲中部平原区的地表水-地下水交互方向(多年平均)为河水补给地下水,而周围山区为地下水排泄到河水。此外,小时尺度的地表水-地下水交互通量呈现出明显的潮汐影响特征;而在日尺度上,河水向地下水的补给和地下水向河水的排泄呈现出相反的季节性变化特征(下图)。

图 地表水-地下水交互过程的时空变化特征
作为一种基于陆地的研究方法,本模型模拟出的海底地下水排泄主要为源于降雨补给的地下淡水,但其中也不可避免地包含了源于海洋的咸水地下水排泄。因此本研究用SGD-HM (Submarine groundwater discharge derived from hydrological modeling)指代地表水-地下水耦合模型模拟出的海底地下水排泄。模拟结果显示,珠江河口以东区域的SGD-HM速率明显高于珠江口西岸。而从时间变化特征来看,丰水期的SGD-HM速率高于枯水期(下图)。

图 SGD-HM速率的时空变化特征
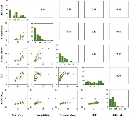
通过开展陆海水文变量与SGD-HM的相关性分析,发现了不同时间尺度上影响SGD-HM的主导因素不同。其中,小时尺度上主导SGD-HM的因素为潮汐,即海洋过程;而在更长尺度(如月尺度和年尺度)上,地表因素如降雨、潜在蒸散发和上游来流是SGD-HM的主要影响因素(下图)。

图 不同因素与SGD-HM的相关性(月尺度)
模型结果表明,潮汐在河口三角洲地区的水文过程中扮演重要角色。潮汐的影响通过地表河网向内陆区域传播,并通过地表水与地下水的交互过程重塑地下水流场。基于地表水-地下水耦合模型的数值实验,我们绘制出了受潮汐影响的地下水区域(下图)。分布图显示,潮汐对于沿海地区地下水的影响远远不止海岸带,而是随河网深入到内陆几百公里的范围,区域面积达研究区域总面积的四分之一。本研究结果对于沿海地区地下水管理和可持续发展具有重要意义。

图 潮汐对沿海地区地下水的影响范围
本论文第一作者为郑春苗团队博士毕业生王晓丽,郑春苗教授与南方科技大学田勇研究副教授为本文共同通讯作者。本项目得到国家自然科学基金委重大项目(41890852)的经费支持。
论文链接:
https://agupubs.onlinelibrary.wiley.com/doi/10.1029/2022WR033942